机器之心编辑部
使用一个简单的二元运算符结合常数 1 是否能够演绎出现代科学计算器上的所有基本函数?
最近,计算机科学领域迎来了一项突破性研究。
这一简化复杂数学系统的底层革新被认为具有革命意义。该论文的作者是来自波兰雅盖隆大学(Uniwersytet Jagielloński)的 Andrzej Odrzywołek。

- 论文标题:《从单一运算符生成所有初等函数》
- 论文链接:https://arxiv.org/pdf/2603.21852v2
在数字电路的世界中,NAND 门是一个众所周知的现象。仅通过这种双输入逻辑门就能构建出任何布尔电路。整个计算机的基本单元可以由同一个基本元件组合而成。
1913 年,Henry Sheffer 发现的「Sheffer 竖线」揭示了一个惊人的事实:看似复杂的数字逻辑世界实际上只有一个基础元素。
那数学呢?
Andrzej Odrzywołek 努力将复杂的数学运算符分解,并成功找到了数学中的「上帝粒子」



这可能是对现有数学运算结构进行解构的开始。
尝试「拆解计算器」
作者从一张标准科学计算器功能表入手,包括 36 种原始元素(命名常量、一元函数和二元运算符),然后逐一删除一种元素,并检查剩余集合是否能重建所有原始功能。
这个过程充满挑战。论文记录了这一缩减过程中的一个递减序列:
- Calc 3:取反、倒数、指数、对数、加法,共六种原语
- Calc 2:进一步简化至三个原语(指数函数、自然对数和减法)
- Calc 1:采用二元幂运算及其逆运算作为基础,并需要 e 或 π 这样的终端常量
- Calc 0:将常数 e 吸收进指数函数本身,仅剩下三个原语
每一步的简化都让「单一运算符可能存在的」假设更加可信。最终,在 Calc 0 的启发下,研究人员开始测试初等二元函数作为候选单运算符的可能性。
经过多次失败和若干误报之后,他终于找到了答案:

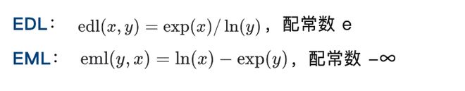
这个被命名为 EML(指数-减法-对数)的双输入运算符,配合常数 1,构成了完整的初等函数基础。
换句话说,一台只有两个按钮 ——EML 和数字 1—— 的计算器能完成今天任何科学计算器所能做的所有工作。
EML 并非唯一的解决方案。论文还介绍了它的两个「近亲」:

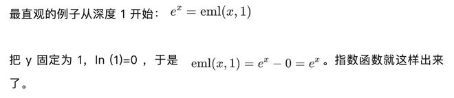
EML 生万物
理解 EML 的功能在于观察它如何层层构建出我们熟悉的数学对象。




上图展示了完整的进化树(phylogenetic tree):从单一的 EML 起源出发,逐步衍生出全部 36 种原语。粗箭头标记的是由 EML 和数字 1 直接构成的表达式,细箭头则依赖中间产物。
在形式语言层面,EML 表达式的语法简洁到令人难以置信:
![]()
这意味着每一个初等函数表达式实际上是一棵由完全相同的节点组成的满二叉树

不同的函数所需的树深度各不相同:指数函数仅需深度 1,而乘法则需要深度 8。大多数常用的数学函数位于深度 5 至 9 的区间内。这种差异反映了不同函数在 EML 表示下的「编码距离」。
从数学到机器学习
EML 在机器学习领域中可能具有重要的应用价值。
现代符号回归方法试图从数据中发现闭式表达式,但其搜索空间通常涉及多种异构算子,包括加减乘除、三角函数等。算子集选少了可能导致不完备性,而选多了又会导致搜索空间过于庞大。
EML 提供了一种全新的思路:既然所有初等函数都可以用同一种节点表示,那么搜索空间就变成了统一的二叉树结构

实验结果:
- 深度 2 的情况下,成功率达到了 100%,随机初始化即可精确恢复目标函数。
- 在深度为 3 至 4 的情况下,成功率为大约 25%。
- 深度 5:成功率低于 1%(在 448 次尝试中没有一次成功)。
- 深度 6:未观察到成功的恢复情况。
然而,当权重从正确值附近加入高斯噪声时,在所有试验中优化器都能收敛回精确值,即使对于深度为 5 至 6 的树也是如此。这表明 EML 树的正确参数盆地确实存在,但问题是随机初始化难以进入这一范围。
一旦训练成功,权重的「硬化」过程会将浮点参数 snap 到准确的二进制值(0 或 1),此时均方误差降至机器精度量级(~10⁻³²),这意味着模型精确恢复了闭式表达式。
这种方法提供了一种可能性:可解释的符号发现
传统神经网络内部机制是不透明的黑箱,而 EML 树在训练成功后可以直接读出,每一棵训练好的树都对应着一个人类可读的数学公式。
论文作者认为,EML 可能只是冰山一角。初等函数这个看似庞杂的家族中隐藏的统一性远超我们的想象。
这个只有两个按钮的计算器也许比我们所想的强大得多。
