单张显卡跑出15倍推理速度,aiX-apply-4B小模型加速企业AI研发落地
准确率93.8%超越DeepSeek-V3.2
允中 发自 凹非寺
量子位 | 公众号 QbitAI
一款“反直觉”的产品,往往最能折射一个产业的真实需求。
3月25日,硅心科技(aiXcoder)发布了一款专为「代码变更应用」场景设计的高性能、轻量级模型aiX-apply-4B。
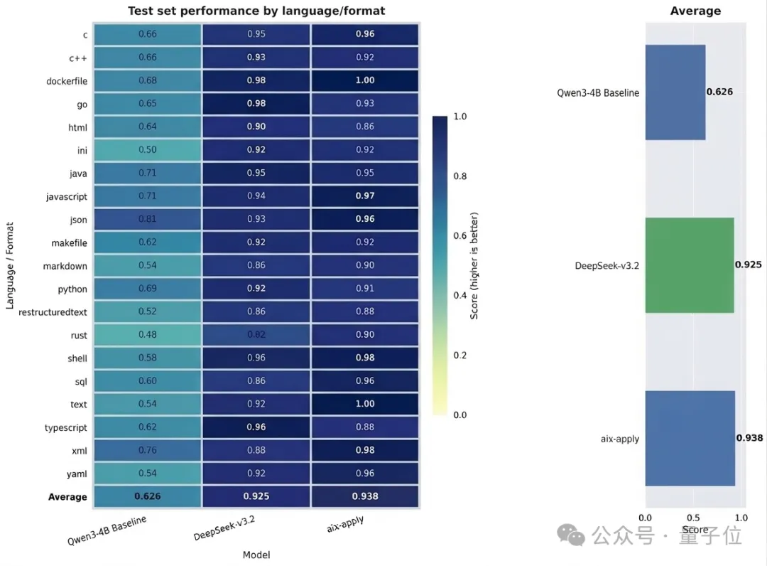
基准测试结果显示,在20多种主流编程语言及Markdown等多类型文件格式的测试中,aiX-apply-4B的平均准确率达到93.8%,超越Qwen3-4B基座模型62.6%的准确度,甚至高于千亿级大模型DeepSeek-V3.2。
同一任务场景下,aiX-apply模型算力成本约为DeepSeek-V3.2的5%,推理速度则提升15倍,仅需一张消费级显卡即可在企业部署。
当全行业还在卷参数、卷通用能力时,这家北大系AI Coding赛道创企早已将目光投向了更深水区的问题——
在企业研发算力有限的背景下,AI到底该如何赋能智能化软件开发?
为什么是4B小模型?因为企业的算力“就这么多”
随着OpenClaw等智能体框架的普及,企业AI应用正从单次模型调用走向多智能体协作。
一个复杂任务的完成往往需要10到50次模型调用,并发场景下的Token消耗更是达到传统模式的数倍甚至数十倍。
这一变化直接加剧了企业的算力压力。尤其对于金融、通信、能源、航天等关键领域的企业来说,私有化部署的算力“就这么多”且极其宝贵。
每一次额外的模型调用,都在消耗本就紧张的算力资源,推高延迟的同时挤占并发能力。
当多智能体协作成为常态,如何控制算力成本成为企业面临的核心挑战之一。
公有云“烧”Token的模式无法满足企业数据安全需求,私有化部署千亿级、万亿级大模型成本高昂且容易导致算力空转浪费。
这时,如何用有限算力实现最优配置,让每一份算力都能落到最需要的研发场景中去,是行业亟待解决的核心问题。
正是在这样的行业背景下,aiXcoder推出了更适合企业私有化部署的aiX-apply-4B轻量级模型,服务于代码变更应用场景。
这一场景的核心挑战在于,需要将模型生成的不规整、碎片化的代码片段,精准、无损地应用到原始文件中,同时严格保持缩进、空白符、上下文的一致性,不牵动其他代码、避免引入新问题。
△aiX-apply-4B模型架构据了解,为了贴合真实企业研发应用场景,确保模型应用效果,aiXcoder结合真实企业场景下的代码提交记录构建了aiX-apply-4B模型的训练数据集,基于高性能强化学习框架开展模型训练,并纳入了对各种边界情况的考虑。
在统一的测试方法与多维度评估体系下,这个4B参数小模型凭借一系列的创新训练方法,在代码变更应用这一场景中实现了超越千亿级大模型的表现:
在准确率方面,测试结果显示,在覆盖20余种编程语言及文件类型的1600余条测试集上,aiX-apply表现优于同量级模型Qwen3-4B(准确率62.6%),更与参数规模相差一百多倍的DeepSeek-V3.2(准确率92.5%)比肩。
△基准测试对比在推理效率方面,aiXcoder引入自适应投机采样技术,极大压缩了端到端延迟。
企业级生产环境实测显示,aiX-apply-4B推理速度每秒可达2000 tokens,在单张RTX 4090消费级显卡上即可高效运行;而对比模型DeepSeek-V3.2则需要八卡H200高端集群部署。
综合不同的硬件部署成本与推理速度进行对比,aiX-apply-4B仅用DeepSeek-V3.2约5%的算力成本,实现了15倍的效率提升。
在泛化能力方面,aiX-apply模型展现出了媲美DeepSeek-V3.2的准确性和稳定性。
无论是应对超长代码文件的精确编辑,还是处理极其冷门、甚至未在训练集中显式出现的编程语言,aiX-apply模型都保持了良好的范式泛化能力,充分验证了其在真实企业级开发环境中的实用价值。
△基准测试对比“大模型+小模型”协同,最大化释放有限算力价值
事实上,aiX-apply-4B模型并不是aiXcoder发布的针对研发场景定义的第一款小模型。
早在2024年,aiXcoder团队就已推出参数量为7B的代码补全小模型,它专为开发者日常编码的高频场景设计,能够精准预测开发者意图。
据介绍,基于“场景定义模型”这一理念,aiXcoder目前已构建起覆盖多个研发关键环节的小模型矩阵,并创新提出“大模型+小模型”协同架构,让“通才”大模型与“专才”小模型各司其职、优势互补:
- 通用大模型聚焦复杂意图理解、代码逻辑分析、修改方案制定等需要深度推理的工作,发挥其智能优势;
- 垂直场景小模型则承接高频工程任务,以轻量化特性实现快速、精准执行。
这种架构设计,可以让企业的有限算力得到分层利用:小模型支持专项场景任务的高效完成,节约出更多算力用于大模型的复杂推理。
这避免了高端算力的浪费,使企业有限的算力价值得到了充分释放。

思邈